未知粉末の構造はこう解く!3D-ED × MS × NMR × 計算化学による統合解析
本稿では、3D電子回折、質量分析、NMR、量子化学計算、データベースマイニングを統合することで、全く未知のナノ結晶から結晶構造・化学構造を自動的に導く新しいワークフローを紹介します。
執筆者
西山 裕介(日本電子株式会社)
固体NMRを用いた構造解析を専門とする。研究成果は国際的にも高く評価され、「世界で最も影響力のある研究者 (Top 2% Scientists)」に8期連続で選出されている。(2025年時点)
1. 初めに
全く未知の微結晶粉末が手元にあります。いったいどうやって結晶構造を決めたらいいのでしょうか?十分に大きな結晶であれば、王道の単結晶X線構造解析で構造が解けますが、大きさが1 µmより小さいような微結晶には通用しません。3D電子回折法 (ED: electron diffraction) は、微結晶の構造解析法として近年注目を浴びています。しかしながら、炭素・窒素・酸素の区別がつかない、水素原子が見えにくいといった問題があり、化学式未知のサンプルの構造解析につながりません。
本稿では、全く未知の微結晶粉末から結晶構造を決定する手法を提案します。本手法は、SynergyED (3D ED, microED法)、DART-HRMS (高分解能質量分析法)、NMR (核磁気共鳴法)、量子化学計算、データベースマイニングを有機的に組み合わせたものであり、日本電子が推進しているYOKOGUSHI戦略の一環に基づいた提案となります。
大まかな流れは、以下の通りです。
- SynergyEDにより、分子の骨格構造がわかります (元素の区別がつかず、水素原子も見えない: 図1a)。
- DART-HRMSによりそれぞれの分子の化学式 (分子を構成している原子の種類と数) がわかります (表1)。
- SynergyED/DART-HRMSの情報をもとにデータベースマイニングを行うことにより、結晶の中での構造式 (原子のつながりを含めた分子構造) を決めることができます。ここで水素原子の位置も大雑把に決めることができます。(図2、図1b,c)
- 量子化学計算により結晶構造を最適化し、GIPAW計算を行うことにより対応する固体NMRスペクトルの計算ができます。
- 実測および計算固体NMRスペクトルを比較することにより、構造の確かさを実証できます。さらに固体NMRにより水素原子の位置を精密に決定します。(図3、図4)
この手順により、全く未知の微結晶粉末から完全な結晶構造解析が実現します。この手法は、低分子試料に一般に適用できる手法であり、幅広い問題解決につながることが期待されます。
本手法は、日本電子株式会社とトリノ大学がともに主導的に研究開発を行った共同研究結果であり、Nature PublishingのCommunications Chemistryに掲載されました。論文はオープンアクセスであり、下記リンクから無料でダウンロードできます。
https://doi.org/10.1038/s42004-026-01902-1
Chiara Sabena, Federica Bravetti, Natsuki Miyauchi, Miho Nakafukasako, Yoshitaka Aoyama, Katsuo Asakura,
Kiyotaka Konuma, Masahiro Hashimoto, Yusuke Nishiyama*, Michele R. Chierotti*, An integrated workflow for
the structure elucidation of nanocrystalline powders, Commun. Chem. in press. DOI:
10.1038/s42004-026-01902-1
2. 3D電子回折法
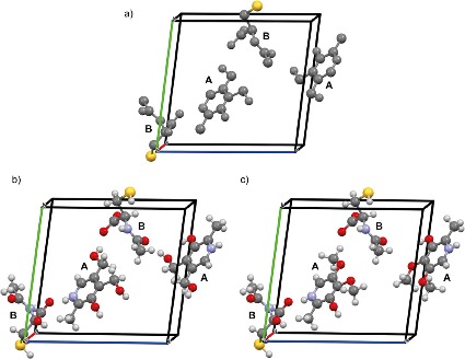
単結晶X線回折法では、X線を様々な方向から結晶に照射することにより多くの回折像を集め、そこから3次元の結晶構造を再構成します。一方で、電子顕微鏡のように電子線を出す装置を用いて、電子線を結晶に照射して構造を得る手法が3D 電子回折法です。しかしながら得られた構造は炭素・窒素・酸素の区別がつかない、水素原子が見えないという問題があります。実際に得られた構造を図1aに示します。よくカラフルな (原子の種類ごとに異なる色を付けた) 結晶構造を見かけますが、実際に得られる生データはこんな感じのモノクロの (原子の種類の区別がつかない) 構造なのです。構造を知りたいだけならこれで十分ですが、我々は化学的に意味のある構造を知りたいので不十分と言わざるを得ません。通常は、既知の構造式をもとに構造に色付けを行って図1b,cのようなカラフルな、化学的に意味のある構造に修正していきます。構造式がわかっている場合でも結晶構造にあいまいさが生じることがありますが、NMR Crystallographyの考えを用いることにより3D電子回折・固体NMR・量子化学計算と組み合わせて、完全な結晶構造が得られることを我々は以前示しました(Nat. Commun. 10 (2019) 3537. DOI: 10.1038/s41467-019-11469-2)。しかしながら構造式が未知の場合には全く手も足も出ないのです。
図1に示す例で、3次元電子回折でわかることは、
ヒント1) AとBの2種類の分子からなる複合成分系である
ヒント2) A、Bそれぞれ12個、10個の非水素原子から構成されている (水素原子は見えていないので何個あるのかわかりません)
ヒント3) Aには芳香環が、Bには硫黄原子が含まれている
ヒント4) Asymmetric unit cellには独立な分子対が2つ含まれている (Z'=2)
ヒント5) 非水素原子の骨格構造がわかる
です。これでもかなりの情報ですが、一体どういう分子なのかはさっぱりわかりません。
図1 3D電子回折で得られた結晶構造 (asymmetric unit cellを表示) (a) 3D電子回折で得られた生構造。AとBの2種類の分子が含まれており、Bには重い元素 (硫黄)
が含まれている。(b, c) DART-HRMSおよびデータマイニングの結果得られた候補構造。
Figure reproduced from C. Sabena et al., Communications Chemistry (2026), DOI:
10.1038/s42004-026-01902-1, licensed under CC BY 4.0.
3. DART-HRMS
ここで登場するのが高分解能質量分析法 (HRMS: high resolution mass spectrometry) です。分子の重さを測る方法です。分子を構成する原子は軽いので、通常グラムなどの単位ではなく、分子量 (Da: ダルトン) で測ります。例えば12C (炭素) は12 Daです (これは定義です)。分子量は構成する原子の原子量を足し合わせると得られます。原子核を構成している陽子や中性子は大体1 Daです。電子の重さは非常に軽いのでほとんど無視できます。そのため、陽子と中性子の数を足すと大体の原子量がわかります。しかしながら、慎重に測ってみると細かい違いがあることがわかります。例えば1Hの原子量は1.007825 Daです。14Nの原子量は14.003074 Daです。元素の違いはこの細かい重さの違いに現れるので、分子量を精密に測定すると、その分子に含まれる原子の種類と数を決めることができるのです。すなわち、化学式を決めることができます。3D 電子回折で得られた構造に色を付けるために必要な構造式が得られるわけではありませんが、カラーの構造を得るために一歩近づくことができます。
我々はDART (direct analysis in real time) 法を用いました。DART法はソフトイオン化法の一種で低分子試料をフラグメント化させることなくイオン化させる非常に使いやすい手法です。サンプルを直接かざすだけで分子量の精密測定が得られ、化学式を簡単に決定することができます。このサンプルでは、2種類の分子が観測されA,Bの化学式が表1のように判明しました。3D 電子回折で得られた構造 (図1a) とよく一致します。2種類ある (ヒント1)、非水素原子の数 (ヒント2)、Bには硫黄原子がある (ヒント3) と合致しているわけです。
表1 A, Bの精密質量及びそれから得られた化学式
| 精密質量 | 化学式 | |
|---|---|---|
| A | 169.0739 Da | C8H11NO3 |
| B | 163.0303 Da | C5H9NO3S |
4. データベースマイニング
では次に、化学式から構造式を得るにはどうすればいいのでしょうか?ここでデータベースが活躍します。世の中には一般に公開されている化学構造のデータベースが複数存在します。データベースに化学式を入れてあげると、その化学式を持つ物質の構造式をリストアップしてくれます。ここでは、NIHが無料で公開しているPubChemを一例にとります。PubChemには1億を超える化学構造が登録されており、様々な手段で検索ができるようになっています。まず、DART-HRMSにより得られた化学式で検索を行うとAは4921件、Bは706件ヒットします。この中に正解の化学構造が含まれますが、どれが正解なのかさっぱりわかりません。このように低分子化合物であっても化学式だけでは構造決定には不十分であることがよくわかります。
幸い、3D電子回折により重要な追加情報をすでに手にしています。ヒント2に示すように非水素原子の数がわかっており、ヒント3に示すように特徴的な部分構造もわかっています。さらにヒント5に示すように非水素原子の骨格構造も可視化されています。これらの情報をもとにデータベースマイニングを行うことによって構造式を決定することができるのです。
まず、Aに注目すると特徴的な芳香環の骨格構造が含まれています。Aの化学式 (C8H11NO3) を考えると、これはベンゼン環 (C6) もしくはピリジン環 (C5N) のどちらかであることがわかります。そこで、PubChemの部分構造を用いた検索機能を使います。Aの分子量 (169.0739 Da)、C6環/C5N環の部分構造、水素原子以外を12個もつ構造は23個存在します。ここで化学式ではなく分子量と非水素原子の数を検索に用いたのはPubChemのインターフェースの設計のためであり、本質的なことではありません。ほかのデータベース (有料ですが) を用いることにより、化学式と部分構造による検索も可能と考えられます。23個の構造を目視で3D電子回折の骨格構造と比較すると、一致するのは2個のみでした (図2A)。このようにDART-HRMSの結果を3D電子回折の構造をもとにデータベースマイニングすることにより、非常に効率的に構造を絞り込むことができました。
(A)
(B)
図2 A,Bそれぞれの候補化学構造。分子量と部分構造、非水素原子の数からPubChemデータベースにより絞り込んだ構造から、SynergyEDにより得られた骨格構造 (図1a)
に合致するものを選んだ。
Figure reproduced from C. Sabena et al., Communications Chemistry (2026), DOI:
10.1038/s42004-026-01902-1, licensed under CC BY 4.0.
同様にして、Bの分子量 (163.0303 Da)、C-S/N-S/O-Sという部分構造、水素原子以外を10個もつ構造は128個存在します。この中で3D電子回折の骨格構造に合致するのは5個のみです(図2B)。ここで、Bの化学式C5H9NO3Sに一致するものは3個のみです。このずれはPubChemに収録される分子量の有効数字が0.01 Daであることに起因するものであり、検索に分子量ではなく化学式を用いることができれば直接3個の構造にたどり着くことができます。この3個の構造は光学異性体であり、化学構造としては同一の分子 (N-アセチルシステイン) となります。Kinetic analysisを用いる電子回折では、絶対構造の決定ができませんが天然物に含まれる頻度からここではN-アセチルL-システインとしました。
これらの分子構造を電子回折構造に当てはめると、図1b,cに示すような結晶構造となります。
5. 溶液NMR
多くの場合は、データベースマイニングを行った時点で、候補構造を一つに絞ることができます。例えば、分子Bはすでに構造が決まりました。しかしながらデータベースマイニングの段階では絞り切れないときもあり得ます。実際にAは図2Aに示すようにいまだ2種類の可能性が残っています。一つは"-CH2-OH" (ピリドキシン)、もう一つは"-O-CH3"を官能基に持ちます。このような場合、簡単な溶液NMR測定が非常に有用な情報を与えてくれます。例えば、基本的な溶液NMR測定法の一つである13C DEPT-135測定を行うと、CH2は信号強度が負の信号、CH3は正の信号として現れます。実測すると負の信号が観測されたため、部分構造は-CH2-OH (ピリドキシン)、すなわち図1bが正しい結晶構造だとわかりました。
6. 量子化学計算
上記のように結晶構造が決まりましたが、水素原子の位置は分子構造に合わせて付与しただけのものであり、ちゃんと決まっていません。幸い、量子化学計算を行うことにより、原子位置を調整し最も安定な構造に最適化することができます。また、最適化した結晶構造からGIPAW計算を行って、構造に対応するNMRスペクトルを計算することもできます。
7. 固体NMR
上記のように3D電子回折、HRMS、データベースマイニング、量子化学計算で結晶構造が得られましたが、最終的な最適化は計算に頼っており、実験事実に基づいた実証が行われていません。結晶構造の実証には固体NMRがとても役に立ちます。NMRは局所的な環境に非常に敏感で、分子間のパッキングや、分子のコンホメーションの変化に応じてNMRスペクトルが大幅に変化します。そこで、結晶構造から計算されたNMRスペクトルと、実際に測定された固体NMRスペクトルを比較し、その一致度から構造の確からしさを検証することができます。
実際に計算および実測NMR化学シフトを比較してみました。1H、13C、15N NMRすべてが非常に良い一致を示しており (図3)、図2bの結晶構造が確からしいことを確認できました。また、より重要なことは、図2bの構造はサンプル全体の結晶構造を代表するものであることが実証できた点です。
実は、3D電子回折で得られた構造には大きな疑問がいつもついて回ります。
「その構造は、本当に知りたい物質の構造なのですか?」
というのも、3D電子回折で得られた構造は無数にある微結晶の中から1個から数個程度を選んで決定されたものです。そのため、3D電子回折による構造が必ずしもサンプル全体を代表する構造であるとは限りません。ごく微量に含まれる成分の構造である可能性が捨てきれません。一方で固体NMRはサンプル全体を測定します。図3は、構造が確からしいことを検証したのみならず、サンプル全体がこの構造であることも実証しているのです。
(a)
(b)
(c)
図3 計算および実測固体 (a) 1H, (b) 13C, (c) 15N NMRシフトの比較。
Figure reproduced from C. Sabena et al., Communications Chemistry (2026), DOI:
10.1038/s42004-026-01902-1, licensed under CC BY 4.0.
構造決定はここで終わりではありません。特に水素位置の決定には細心の注意が必要です。上記のように水素位置は、量子化学計算で最適化しました。しかしながら量子化学計算は絶対零度 (0 K) で計算を行っています。一方で我々が知りたいのは通常は常温付近の構造であり、実際に3D電子回折や固体NMRも常温付近で測定することが多いです。共有結合している水素位置は温度によって大きく変化することはないのですが、非共有結合で位置が決まっている水素原子は、温度によって大きく場所が変わることがあります。
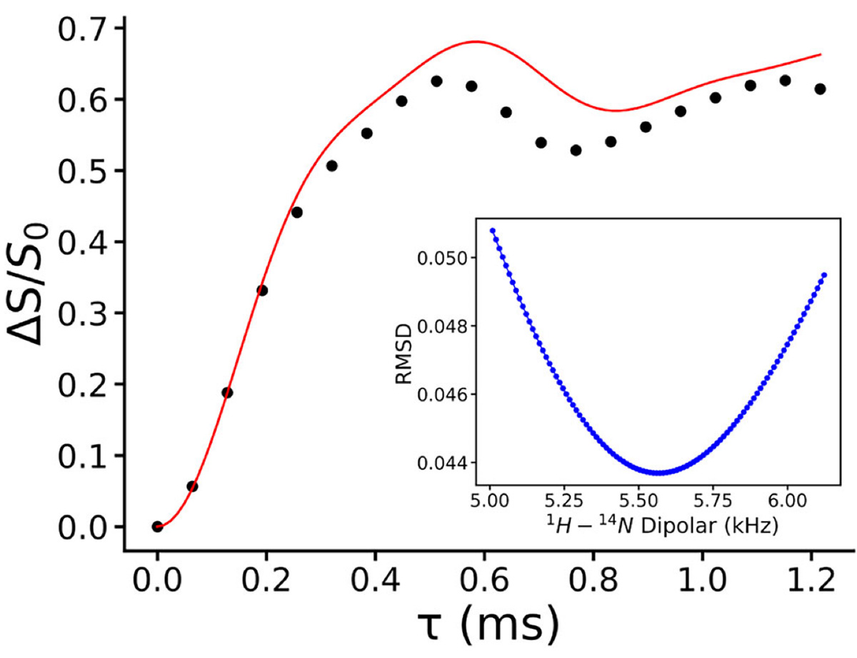
この結晶の場合には分子間にO...H...Nの相互作用が見られます。このような相互作用は比較的弱く、温度により水素の位置が変化しえます。また実務上重要なことに、この水素の位置はこの複合結晶が塩なのか共結晶なのかを決定し、特に医薬品の応用において知財の確保や品質管理に重要な影響を与えます。0 Kにおける水素位置はDFT-D計算により最適化されていますが、これが実際の室温での水素位置とは限りません。そこで固体NMRを用いて室温での14N-1Hの距離を定量的に決定しました。我々の開発したPM-S-RESPDOR法 (J. Magn. Reson. 308 (2019) 106559. DOI: 10.1016/j.jmr.2019.07.046) を用いることにより短時間で精密距離測定が実現しました (図4)。測定結果により、1H-14Nの原子間距離は1.16 Åであることがわかり、N-アセチルL-システインの-COOHの水素原子はピリドキシンの窒素原子に移動しており、塩を形成していることがわかりました。
図4 PM-S-RESPDOR法により得られたfraction curveとanalytical fitting.
Figure reproduced from C. Sabena et al., Communications Chemistry (2026), DOI:
10.1038/s42004-026-01902-1, licensed under CC BY 4.0.
8. 汎用性の確認
上記では、情報ゼロの状態から未知の微結晶粉末の結晶構造解析を実演しました。実際にはこの結晶は、N-アセチルL-システインとピリドキシンをメカノケミストリーにより合成した試料であり、結晶構造も全く未知のサンプルでした。もう一つの例として別の道の微結晶粉末の結晶構造解析もまったく同じ戦略で実行しています。結果として、やはり結晶構造が未知のN-formyl-methionyl-leucyl-phenylalanineであることがわかりました。
9. まとめ
なんの事前情報もなく、手元の白い粉末の構造を解きたいときにはどうすればよいのでしょうか?この論文で報告したように、SynergyED、DART-MS、NMR、量子化学計算、データベースマイニングを系統的に行うことによって、自動的に構造を得ることができます。量子化学計算は無料のオープンソフトウェアQuantum Espresso、データベースマイニングは同様に無料のPubChemを用いており、追加の費用は発生しません。
この手法の一つの制限はデータベースのサイズにあります。PubChemには1億を超える化学構造が収録されていますが、これでもすべての化合物をカバーするには全く不十分です。もし、白い粉末に含まれている物質が化学構造が知られていない物質だった場合、構造が得られない可能性があります。そのような場合には、追加で溶液NMRによる構造解析が必要になることがあります。現在、我々はさらなる自動化・汎用化を目指して技術開発を進めております。
実際の解析の詳細に関しては、原著論文をご参照ください。
10. 謝辞
本研究はトリノ大学のProf. Michele R. Chierottiとの緊密な国際共同研究により遂行されました。プロジェクトチームに参加したトリノ大のMs. Chiara Sabena, Dr. Federica Bravetti, 日本電子株式会社の宮内 夏月、中深迫 美穂、青山 佳敬、朝倉 克夫、小沼 純貴、橋本 将宏(敬称略)に深く感謝します。
11. 関連製品
極微小単結晶構造解析プラットフォームXtaLAB Synergy-ED
XtaLAB Synergy-ED は、リガクと日本電子のコア技術のシナジーによって生まれた全く新しい電子回折計です。
リガクの高速超高感度検出器 HyPix-ED と測定から構造解析までを包括するソフトウェア「CrysAlisPro for
ED」、日本電子において長年にわたり磨き上げられてきた電子線発生・制御技術を統合、測定サンプル (ナノ結晶)
の選別からデータ収集、解析までのフローを一体化することで、従来必須とされる電子顕微鏡と結晶学の専門知識がない非専門家にも、電子回折構造解析を手軽に利用することが可能です。
JMS-T100LP AccuTOF™ LC-Express 大気圧イオン化飛行時間質量分析計
AccuTOF™ LCシリーズの第4世代機 AccuTOF™
LC-Expressは、マルチイオン化・堅牢性・容易なメンテナンスを特長とした高い生産性を目指したハイスループット質量分析計です。
JEOL独自のイオン化技術であるDART™ (Direct Analysis in Real Time) によって精密質量情報が迅速に得られ、またエレクトロスプレーイオン源 (ESI)
を備えるLC-MSシステムや ColdSprayイオン源 (CSI) へ容易に変更できるため、有機化学や材料科学といった幅広い研究ニーズにお応えします。
NMR spectrometerECZ Luminous™ (JNM-ECZLシリーズ)FT NMR装置
ECZ Luminous™ (JNM-ECZLシリーズ)は、最先端のデジタル技術と高周波技術を搭載したFT NMR装置です。
高集積化された高速・高精度デジタル高周波制御回路Smart Transceiver Systemにより、分光計のさらなる小型化と高い信頼性を実現しました。
従来の低磁場溶液NMR装置のサイズでありながら、高磁場や固体のNMR測定が可能です。
新機能Multi Frequency Drive Systemにより、標準構成の分光計でありながら多重共鳴測定が可能となり、ソリューションの広がりを提供します。
日本電子株式会社
日本電子は、1949年の創業以来、これまで最先端の理科学・計測機器、産業機器そして医用機器の開発に邁進してきました。
今では数多くの製品が世界のいたるところで使用され、真のグローバル企業として高い評価を頂いております。
「世界の科学技術を支えるニッチトップ企業」を目指し、ますます高度化し多様化するお客様のニーズに的確にお応えしていきます。
お問い合わせ
日本電子では、お客様に安心して製品をお使い頂くために、
様々なサポート体制でお客様をバックアップしております。お気軽にお問い合わせください。
